Ãëàâíàÿ Ñîäåðæàíèå Ìåõàíèêà Òåðìîäèíàìèêà ÌÊÒ Ýëåêòðîäèíàìèêà Îïòèêà Êâàíòîâàÿ òåîðèÿ
 

Ïðåîáðàçîâàíèÿ Ëîðåíöà

ÊÈÍÅÌÀÒÈÊÀ

ÑÊÎÐÎÑÒÜ È ÓÑÊÎÐÅÍÈÅ

ÓÃËÎÂÀß ÑÊÎÐÎÑÒÜ

ÓÃËÎÂÎÅ ÓÑÊÎÐÅÍÈÅ

ÏÎÑÒÓÏÀÒÅËÜÍÎÅ ÄÂÈÆÅÍÈÅ

ÂÐÀÙÀÒÅËÜÍÎÅ ÄÂÈÆÅÍÈÅ

ÄÈÍÀÌÈÊÀ

ÏÅÐÂÛÉ ÇÀÊÎÍ ÍÜÞÒÎÍÀ

ÂÒÎÐÎÉ ÇÀÊÎÍ ÍÜÞÒÎÍÀ

ÒÐÅÒÈÉ ÇÀÊÎÍ ÍÜÞÒÎÍÀ

ÑÈËÛ Â ÌÅÕÀÍÈÊÅ

ÃÐÀÂÈÒÀÖÈÎÍÍÛÅ ÑÈËÛ

ÑÈËÛ ÒÐÅÍÈß

ÑÈËÀ ÓÏÐÓÃÎÑÒÈ

ÂÅÑ ÒÅËÀ

ÍÅÂÅÑÎÌÎÑÒÜ

ÌÅÕÀÍÈÊÀ ÒÂÅÐÄÎÃÎ ÒÅËÀ

ÌÎÌÅÍÒ ÑÈËÛ

ÌÎÌÅÍÒ ÈÍÅÐÖÈÈ

ÓÐÀÂÍÅÍÈÅ ÄÈÍÀÌÈÊÈ ÂÐÀÙÀÒÅËÜÍÎÃÎ ÄÂÈÆÅÍÈß

ÇÀÊÎÍ ÑÎÕÐÀÍÅÍÈß ÌÎÌÅÍÒÀ ÈÌÏÓËÜÑÀ

ÐÀÁÎÒÀ È ÝÍÅÐÃÈß

ÐÀÁÎÒÀ È ÌÎÙÍÎÑÒÜ

ÏÎÒÅÍÖÈÀËÜÍÀß ÝÍÅÐÃÈß

ÊÈÍÅÒÈ×ÅÑÊÀß ÝÍÅÐÃÈß

ÇÀÊÎÍ ÑÎÕÐÀÍÅÍÈß ÝÍÅÐÃÈÈ

ÏÎËÅ ÊÀÊ ÔÎÐÌÀ ÌÀÒÅÐÈÈ

ÏÎÒÅÍÖÈÀËÜÍÎÅ ÏÎËÅ ÑÈË

ÍÀÏÐ߯ÅÍÍÎÑÒÜ

ÏÎÒÅÍÖÈÀË

ÌÅÕÀÍÈÊÀ ÆÈÄÊÎÑÒÅÉ È ÃÀÇÎÂ

ÓÐÀÂÍÅÍÈÅ ÁÅÐÍÓËËÈ

ÓÐÀÂÍÅÍÈÅ ÍÅÐÀÇÐÛÂÍÎÑÒÈ

ÂßÇÊÎÑÒÜ

ÎÑÍÎÂÛ ÒÅÎÐÈÈ ÎÒÍÎÑÈÒÅËÜÍÎÑÒÈ

ÏÐÅÎÁÐÀÇÎÂÀÍÈß ÃÀËÈËÅß

ÏÎÑÒÓËÀÒÛ ÝÉÍØÒÅÉÍÀ

ÏÐÅÎÁÐÀÇÎÂÀÍÈß ËÎÐÅÍÖÀ

ÑËÅÄÑÒÂÈß ÈÇ ÏÐÅÎÁÐÀÇÎÂÀÍÈÉ ËÎÐÅÍÖÀ

ÐÅËßÒÈÂÈÑÒÑÊÀß ÌÅÕÀÍÈÊÀ



Ïðåîáðàçîâàíèÿ Ëîðåíöà

 

Õåíäðèê Ëîðåíö

Õåíäðèê Ëîðåíö

 

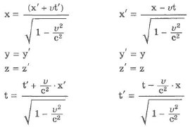
Ïðåîáðàçîâàíèÿ Ëîðåíöà - ýòî ïðåîáðàçîâàíèÿ êîîðäèíàò, óäîâëåòâîðÿþùèå ïîñòóëàòàì ñïåöèàëüíîé òåîðèè îòíîñèòåëüíîñòè.

Ïðåîáðàçîâàíèÿ Ëîðåíöà





Ôèçèêà íàóêà


 

 

Copyright © 2010 - 2018 Ó÷åáíûå ìàòåðèàëû ïî ôèçèêå